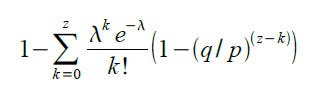
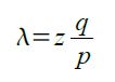
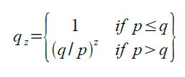
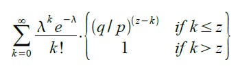
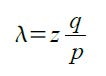
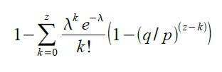
Bitcoin: A Peer-to-Peer Electronic Cash SystemSatoshi Nakamoto satoshin@gmx.com www.bitcoin.orgNunya BidnessJan 21, 2021ShareAbstract. A purely peer-to-peer version of electronic cash would allow onlinepayments to be sent directly from one party to another without going through afinancial institution. Digital signatures provide part of the solution, but the mainbenefits are lost if a trusted third party is still required to prevent double-spending.We propose a solution to the double-spending problem using a peer-to-peer network.The network timestamps transactions by hashing them into an ongoing chain ofhash-based proof-of-work, forming a record that cannot be changed without redoingthe proof-of-work. The longest chain not only serves as proof of the sequence ofevents witnessed, but proof that it came from the largest pool of CPU power. Aslong as a majority of CPU power is controlled by nodes that are not cooperating toattack the network, they'll generate the longest chain and outpace attackers. Thenetwork itself requires minimal structure. Messages are broadcast on a best effortbasis, and nodes can leave and rejoin the network at will, accepting the longestproof-of-work chain as proof of what happened while they were gone.1. IntroductionCommerce on the Internet has come to rely almost exclusively on financial institutions serving astrusted third parties to process electronic payments. While the system works well enough formost transactions, it still suffers from the inherent weaknesses of the trust based model.Completely non-reversible transactions are not really possible, since financial institutions cannotavoid mediating disputes. The cost of mediation increases transaction costs, limiting theminimum practical transaction size and cutting off the possibility for small casual transactions,and there is a broader cost in the loss of ability to make non-reversible payments for nonreversibleservices. With the possibility of reversal, the need for trust spreads. Merchants mustbe wary of their customers, hassling them for more information than they would otherwise need.A certain percentage of fraud is accepted as unavoidable. These costs and payment uncertaintiescan be avoided in person by using physical currency, but no mechanism exists to make paymentsover a communications channel without a trusted party.What is needed is an electronic payment system based on cryptographic proof instead of trust,allowing any two willing parties to transact directly with each other without the need for a trustedthird party. Transactions that are computationally impractical to reverse would protect sellersfrom fraud, and routine escrow mechanisms could easily be implemented to protect buyers. Inthis paper, we propose a solution to the double-spending problem using a peer-to-peer distributedtimestamp server to generate computational proof of the chronological order of transactions. Thesystem is secure as long as honest nodes collectively control more CPU power than anycooperating group of attacker nodes.2. TransactionsWe define an electronic coin as a chain of digital signatures. Each owner transfers the coin to thenext by digitally signing a hash of the previous transaction and the public key of the next ownerand adding these to the end of the coin. A payee can verify the signatures to verify the chain ofownership.The problem of course is the payee can't verify that one of the owners did not double-spendthe coin. A common solution is to introduce a trusted central authority, or mint, that checks everytransaction for double spending. After each transaction, the coin must be returned to the mint toissue a new coin, and only coins issued directly from the mint are trusted not to be double-spent.The problem with this solution is that the fate of the entire money system depends on thecompany running the mint, with every transaction having to go through them, just like a bank.We need a way for the payee to know that the previous owners did not sign any earliertransactions. For our purposes, the earliest transaction is the one that counts, so we don't careabout later attempts to double-spend. The only way to confirm the absence of a transaction is tobe aware of all transactions. In the mint based model, the mint was aware of all transactions anddecided which arrived first. To accomplish this without a trusted party, transactions must bepublicly announced [1], and we need a system for participants to agree on a single history of theorder in which they were received. The payee needs proof that at the time of each transaction, themajority of nodes agreed it was the first received.3. Timestamp ServerThe solution we propose begins with a timestamp server. A timestamp server works by taking ahash of a block of items to be timestamped and widely publishing the hash, such as in anewspaper or Usenet post [2-5]. The timestamp proves that the data must have existed at thetime, obviously, in order to get into the hash. Each timestamp includes the previous timestamp inits hash, forming a chain, with each additional timestamp reinforcing the ones before it.4. Proof-of-WorkTo implement a distributed timestamp server on a peer-to-peer basis, we will need to use a proofof-work system similar to Adam Back's Hashcash [6], rather than newspaper or Usenet posts.The proof-of-work involves scanning for a value that when hashed, such as with SHA-256, thehash begins with a number of zero bits. The average work required is exponential in the numberof zero bits required and can be verified by executing a single hash.For our timestamp network, we implement the proof-of-work by incrementing a nonce in theblock until a value is found that gives the block's hash the required zero bits. Once the CPUeffort has been expended to make it satisfy the proof-of-work, the block cannot be changedwithout redoing the work. As later blocks are chained after it, the work to change the blockwould include redoing all the blocks after it.The proof-of-work also solves the problem of determining representation in majority decisionmaking. If the majority were based on one-IP-address-one-vote, it could be subverted by anyoneable to allocate many IPs. Proof-of-work is essentially one-CPU-one-vote. The majoritydecision is represented by the longest chain, which has the greatest proof-of-work effort investedin it. If a majority of CPU power is controlled by honest nodes, the honest chain will grow thefastest and outpace any competing chains. To modify a past block, an attacker would have toredo the proof-of-work of the block and all blocks after it and then catch up with and surpass thework of the honest nodes. We will show later that the probability of a slower attacker catching updiminishes exponentially as subsequent blocks are added.To compensate for increasing hardware speed and varying interest in running nodes over time,the proof-of-work difficulty is determined by a moving average targeting an average number ofblocks per hour. If they're generated too fast, the difficulty increases.5. NetworkThe steps to run the network are as follows:1) New transactions are broadcast to all nodes.2) Each node collects new transactions into a block.3) Each node works on finding a difficult proof-of-work for its block.4) When a node finds a proof-of-work, it broadcasts the block to all nodes.5) Nodes accept the block only if all transactions in it are valid and not already spent.6) Nodes express their acceptance of the block by working on creating the next block in thechain, using the hash of the accepted block as the previous hash.Nodes always consider the longest chain to be the correct one and will keep working onextending it. If two nodes broadcast different versions of the next block simultaneously, somenodes may receive one or the other first. In that case, they work on the first one they received,but save the other branch in case it becomes longer. The tie will be broken when the next proofof-work is found and one branch becomes longer; the nodes that were working on the otherbranch will then switch to the longer one.New transaction broadcasts do not necessarily need to reach all nodes. As long as they reachmany nodes, they will get into a block before long. Block broadcasts are also tolerant of droppedmessages. If a node does not receive a block, it will request it when it receives the next block andrealizes it missed one.6. IncentiveBy convention, the first transaction in a block is a special transaction that starts a new coin ownedby the creator of the block. This adds an incentive for nodes to support the network, and providesa way to initially distribute coins into circulation, since there is no central authority to issue them.The steady addition of a constant of amount of new coins is analogous to gold miners expendingresources to add gold to circulation. In our case, it is CPU time and electricity that is expended.The incentive can also be funded with transaction fees. If the output value of a transaction isless than its input value, the difference is a transaction fee that is added to the incentive value ofthe block containing the transaction. Once a predetermined number of coins have enteredcirculation, the incentive can transition entirely to transaction fees and be completely inflationfree.The incentive may help encourage nodes to stay honest. If a greedy attacker is able toassemble more CPU power than all the honest nodes, he would have to choose between using itto defraud people by stealing back his payments, or using it to generate new coins. He ought tofind it more profitable to play by the rules, such rules that favour him with more new coins thaneveryone else combined, than to undermine the system and the validity of his own wealth.7. Reclaiming Disk SpaceOnce the latest transaction in a coin is buried under enough blocks, the spent transactions beforeit can be discarded to save disk space. To facilitate this without breaking the block's hash,transactions are hashed in a Merkle Tree [7][2][5], with only the root included in the block's hash.Old blocks can then be compacted by stubbing off branches of the tree. The interior hashes donot need to be stored.A block header with no transactions would be about 80 bytes. If we suppose blocks aregenerated every 10 minutes, 80 bytes * 6 * 24 * 365 = 4.2MB per year. With computer systemstypically selling with 2GB of RAM as of 2008, and Moore's Law predicting current growth of1.2GB per year, storage should not be a problem even if the block headers must be kept inmemory.8. Simplified Payment VerificationIt is possible to verify payments without running a full network node. A user only needs to keepa copy of the block headers of the longest proof-of-work chain, which he can get by queryingnetwork nodes until he's convinced he has the longest chain, and obtain the Merkle branchlinking the transaction to the block it's timestamped in. He can't check the transaction forhimself, but by linking it to a place in the chain, he can see that a network node has accepted it,and blocks added after it further confirm the network has accepted it.As such, the verification is reliable as long as honest nodes control the network, but is morevulnerable if the network is overpowered by an attacker. While network nodes can verifytransactions for themselves, the simplified method can be fooled by an attacker's fabricatedtransactions for as long as the attacker can continue to overpower the network. One strategy toprotect against this would be to accept alerts from network nodes when they detect an invalidblock, prompting the user's software to download the full block and alerted transactions toconfirm the inconsistency. Businesses that receive frequent payments will probably still want torun their own nodes for more independent security and quicker verification.9. Combining and Splitting ValueAlthough it would be possible to handle coins individually, it would be unwieldy to make aseparate transaction for every cent in a transfer. To allow value to be split and combined,transactions contain multiple inputs and outputs. Normally there will be either a single inputfrom a larger previous transaction or multiple inputs combining smaller amounts, and at most twooutputs: one for the payment, and one returning the change, if any, back to the sender.It should be noted that fan-out, where a transaction depends on several transactions, and thosetransactions depend on many more, is not a problem here. There is never the need to extract acomplete standalone copy of a transaction's history.10. PrivacyThe traditional banking model achieves a level of privacy by limiting access to information to theparties involved and the trusted third party. The necessity to announce all transactions publiclyprecludes this method, but privacy can still be maintained by breaking the flow of information inanother place: by keeping public keys anonymous. The public can see that someone is sendingan amount to someone else, but without information linking the transaction to anyone. This issimilar to the level of information released by stock exchanges, where the time and size ofindividual trades, the "tape", is made public, but without telling who the parties were.As an additional firewall, a new key pair should be used for each transaction to keep themfrom being linked to a common owner. Some linking is still unavoidable with multi-inputtransactions, which necessarily reveal that their inputs were owned by the same owner. The riskis that if the owner of a key is revealed, linking could reveal other transactions that belonged tothe same owner.11. CalculationsWe consider the scenario of an attacker trying to generate an alternate chain faster than the honestchain. Even if this is accomplished, it does not throw the system open to arbitrary changes, suchas creating value out of thin air or taking money that never belonged to the attacker. Nodes arenot going to accept an invalid transaction as payment, and honest nodes will never accept a blockcontaining them. An attacker can only try to change one of his own transactions to take backmoney he recently spent.The race between the honest chain and an attacker chain can be characterized as a BinomialRandom Walk. The success event is the honest chain being extended by one block, increasing itslead by +1, and the failure event is the attacker's chain being extended by one block, reducing thegap by -1.The probability of an attacker catching up from a given deficit is analogous to a Gambler'sRuin problem. Suppose a gambler with unlimited credit starts at a deficit and plays potentially aninfinite number of trials to try to reach breakeven. We can calculate the probability he everreaches breakeven, or that an attacker ever catches up with the honest chain, as follows [8]:p = probability an honest node finds the next blockq = probability the attacker finds the next blockqz = probability the attacker will ever catch up from z blocks behindGiven our assumption that p > q, the probability drops exponentially as the number of blocks theattacker has to catch up with increases. With the odds against him, if he doesn't make a luckylunge forward early on, his chances become vanishingly small as he falls further behind.We now consider how long the recipient of a new transaction needs to wait before beingsufficiently certain the sender can't change the transaction. We assume the sender is an attackerwho wants to make the recipient believe he paid him for a while, then switch it to pay back tohimself after some time has passed. The receiver will be alerted when that happens, but thesender hopes it will be too late.The receiver generates a new key pair and gives the public key to the sender shortly beforesigning. This prevents the sender from preparing a chain of blocks ahead of time by working onit continuously until he is lucky enough to get far enough ahead, then executing the transaction atthat moment. Once the transaction is sent, the dishonest sender starts working in secret on aparallel chain containing an alternate version of his transaction.The recipient waits until the transaction has been added to a block and z blocks have beenlinked after it. He doesn't know the exact amount of progress the attacker has made, butassuming the honest blocks took the average expected time per block, the attacker's potentialprogress will be a Poisson distribution with expected value:To get the probability the attacker could still catch up now, we multiply the Poisson density foreach amount of progress he could have made by the probability he could catch up from that point:Rearranging to avoid summing the infinite tail of the distribution...Converting to C code...#include <math.h>double AttackerSuccessProbability(double q, int z){double p = 1.0 - q;double lambda = z * (q / p);double sum = 1.0;int i, k;for (k = 0; k <= z; k++){double poisson = exp(-lambda);for (i = 1; i <= k; i++)poisson *= lambda / i;sum -= poisson * (1 - pow(q / p, z - k));}return sum;}Running some results, we can see the probability drop off exponentially with z.q=0.1z=0 P=1.0000000z=1 P=0.2045873z=2 P=0.0509779z=3 P=0.0131722z=4 P=0.0034552z=5 P=0.0009137z=6 P=0.0002428z=7 P=0.0000647z=8 P=0.0000173z=9 P=0.0000046z=10 P=0.0000012q=0.3z=0 P=1.0000000z=5 P=0.1773523z=10 P=0.0416605z=15 P=0.0101008z=20 P=0.0024804z=25 P=0.0006132z=30 P=0.0001522z=35 P=0.0000379z=40 P=0.0000095z=45 P=0.0000024z=50 P=0.0000006Solving for P less than 0.1%...P < 0.001q=0.10 z=5q=0.15 z=8q=0.20 z=11q=0.25 z=15q=0.30 z=24q=0.35 z=41q=0.40 z=89q=0.45 z=34012. ConclusionWe have proposed a system for electronic transactions without relying on trust. We started withthe usual framework of coins made from digital signatures, which provides strong control ofownership, but is incomplete without a way to prevent double-spending. To solve this, weproposed a peer-to-peer network using proof-of-work to record a public history of transactionsthat quickly becomes computationally impractical for an attacker to change if honest nodescontrol a majority of CPU power. The network is robust in its unstructured simplicity. Nodeswork all at once with little coordination. They do not need to be identified, since messages arenot routed to any particular place and only need to be delivered on a best effort basis. Nodes canleave and rejoin the network at will, accepting the proof-of-work chain as proof of whathappened while they were gone. They vote with their CPU power, expressing their acceptance ofvalid blocks by working on extending them and rejecting invalid blocks by refusing to work onthem. Any needed rules and incentives can be enforced with this consensus mechanism.References[1] W. Dai, "b-money," http://www.weidai.com/bmoney.txt, 1998.[2] H. Massias, X.S. Avila, and J.-J. Quisquater, "Design of a secure timestamping service with minimaltrust requirements," In 20th Symposium on Information Theory in the Benelux, May 1999.[3] S. Haber, W.S. Stornetta, "How to time-stamp a digital document," In Journal of Cryptology, vol 3, no2, pages 99-111, 1991.[4] D. Bayer, S. Haber, W.S. Stornetta, "Improving the efficiency and reliability of digital time-stamping,"In Sequences II: Methods in Communication, Security and Computer Science, pages 329-334, 1993.[5] S. Haber, W.S. Stornetta, "Secure names for bit-strings," In Proceedings of the 4th ACM Conferenceon Computer and Communications Security, pages 28-35, April 1997.[6] A. Back, "Hashcash - a denial of service counter-measure,"http://www.hashcash.org/papers/hashcash.pdf, 2002.[7] R.C. Merkle, "Protocols for public key cryptosystems," In Proc. 1980 Symposium on Security andPrivacy, IEEE Computer Society, pages 122-133, April 1980.[8] W. Feller, "An introduction to probability theory and its applications," 1957.